Research Highlights Featured Chart

December 27, 2023

2023 in Featured Charts

Economists addressed issues related to immigration, social identity, infrastructure costs, and more.

The top ten Featured Charts of 2023 covered a wide variety of topics.

Tyler Smith

Featured Charts provide snapshots of charts or figures from the latest published articles and includes some context of how the chart relates to the authors' findings. The top ten charts of 2023 cover immigration, social identity, infrastructure costs, and more. You can view the most popular charts from 2023 below. The rankings are based on overall page views. Check out more on our website.   

 

1. Latin American immigration to the United States

Economists Gordon Hanson, Pia Orrenius, and Madeline Zavodny take stock of current and historic immigration trends, reviewing the primary causes of immigration from Latin America and suggesting possible future paths. Read more.

Figure 1 from Hanson et al. (2023)

 

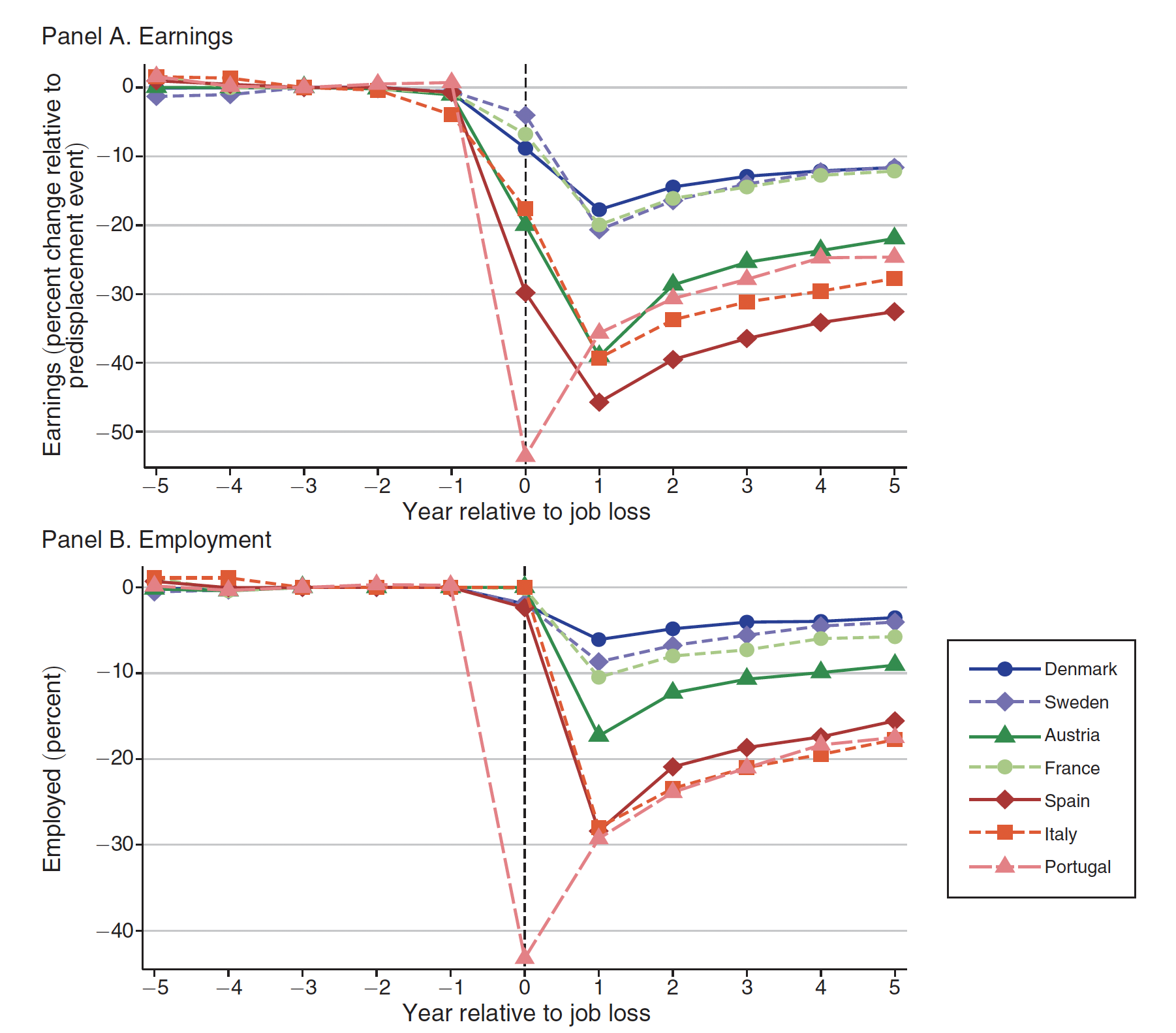
2. Comparing labor market efficiency across Europe

Researchers Antoine Bertheau, Edoardo Maria Acabbi, Cristina Barceló, Andreas Gulyas, Stefano Lombardi and Raffaele Saggio shed light on the consequences of losing a job in different labor markets by building a harmonized dataset across seven European countries. Read more.

Figure 1 from Bertheau et al. (2023)

 

3. Early childhood education and crime reduction

Investing in early childhood education can lead to a reduction in criminal behavior later in life, according to John Anders, Andrew C. Barr, and Alexander A. Smith. They looked at variation in the rollout of Head Start in North Carolina to estimate its long-run impact on adult criminality. Read more.

Figure 2 from Anders et al. (2023)

 

4. Climate policies around the world

Researchers Kimberly A. Clausing and Catherine Wolfram explore global variation in climate change mitigation policies and how countries can coordinate their responses. Read more.

Figure 1 from Clausing and Wolfram (2023)

 

5. Bonding with the boss

Economists Zoë Cullen and Ricardo Perez-Truglia provide evidence that part of the struggle of women to get promoted comes from personal relationship dynamics in the workplace. They say that more face-to-face interactions with managers of the same gender leads to faster career advancement for men. Read more.

Figure 6 from Cullen and Perez-Truglia (2023)

 

6. Implications of work experience for economic development

Researchers Remi Jedwab, Paul Romer, Asif M. Islam, and Roberto Samaniego estimate the returns to work experience and explore how it varies across countries. They find globally that while returns to education are four times higher than returns to experience, returns to experience are strongly correlated with economic development and have a more immediate impact on income. Read more.

Figure 3 from Jedwab et al. (2023)

 

7. Social identity and labor market decisions

Economist Suanna Oh shows that many Indians are willing to forgo sizable wages to avoid doing tasks that don’t fit with their caste. Her findings come from a field experiment with over six hundred men from a rural part of India. Read more.

Figure 1 from Suanna Oh (2023)

 

8. Delegating authority

Demand uncertainty is generally considered to be the central driver of organizational choice. Locations with greater variability provide lower-level managers—those close to the facts on the ground—with greater empowerment to make decisions. But Wouter Dessein, Desmond (Ho-Fu) Lo, and Chieko Minami show that if coordination within a business is crucial to success, centralization will actually be higher when local volatility is high. Read more.

Panel A of Figure 3 from Dessein et al. (2022)

 

9. Unequal growth in learning

Researchers Dan Goldhaber, Thomas J. Kane, Andrew McEachin, Emily Morton, Tyler Patterson, and Douglas O. Staiger found that students who had more remote instruction during the pandemic improved their achievement from fall 2019 to fall 2021 much less than prior cohorts. Read more.

Figure 2 from Goldhaber et al. (2023)

 

10. The cost of building highways

Researchers Leah Brooks and Zachary Liscow contribute to evidence on the cost trajectory of US infrastructure by documenting the growth in the per mile cost of building highways from 1956 to 1993. Read more.

Figure 5 from Brooks and Liscow (2023)

 

¤

You can check out Featured Charts on the AEA website. Stay up-to-date with the latest economics research by following @AEAjournals on Facebook and X (formerly known as Twitter) and by subscribing to our monthly Research Highlights Digest.