Research Highlights Featured Chart

February 28, 2022

Basic income and welfare traps

Source: vladispas

Proponents of universal basic income claim that it could streamline current programs aimed at supporting the unemployed, removing perverse tax incentives and bureaucratic barriers that discourage work without reducing benefits to welfare recipients.

But in a paper in the American Economic Journal: Economic Policy, authors Jouko Verho, Kari Hämäläinen, and Ohto Kanninen provide evidence that guaranteed basic income has only a limited impact on long-term unemployment in advanced countries, despite large increases in employment incentives.

The authors examined an experiment in Finland in which 2,000 unemployment benefit recipients were randomized to receive a monthly basic income. Between 2017 and 2018, the government replaced the minimum unemployment benefits of participants with an equally generous monthly guaranteed income of €560 ($631). At the same time, the program removed administrative barriers, such as job search requirements.

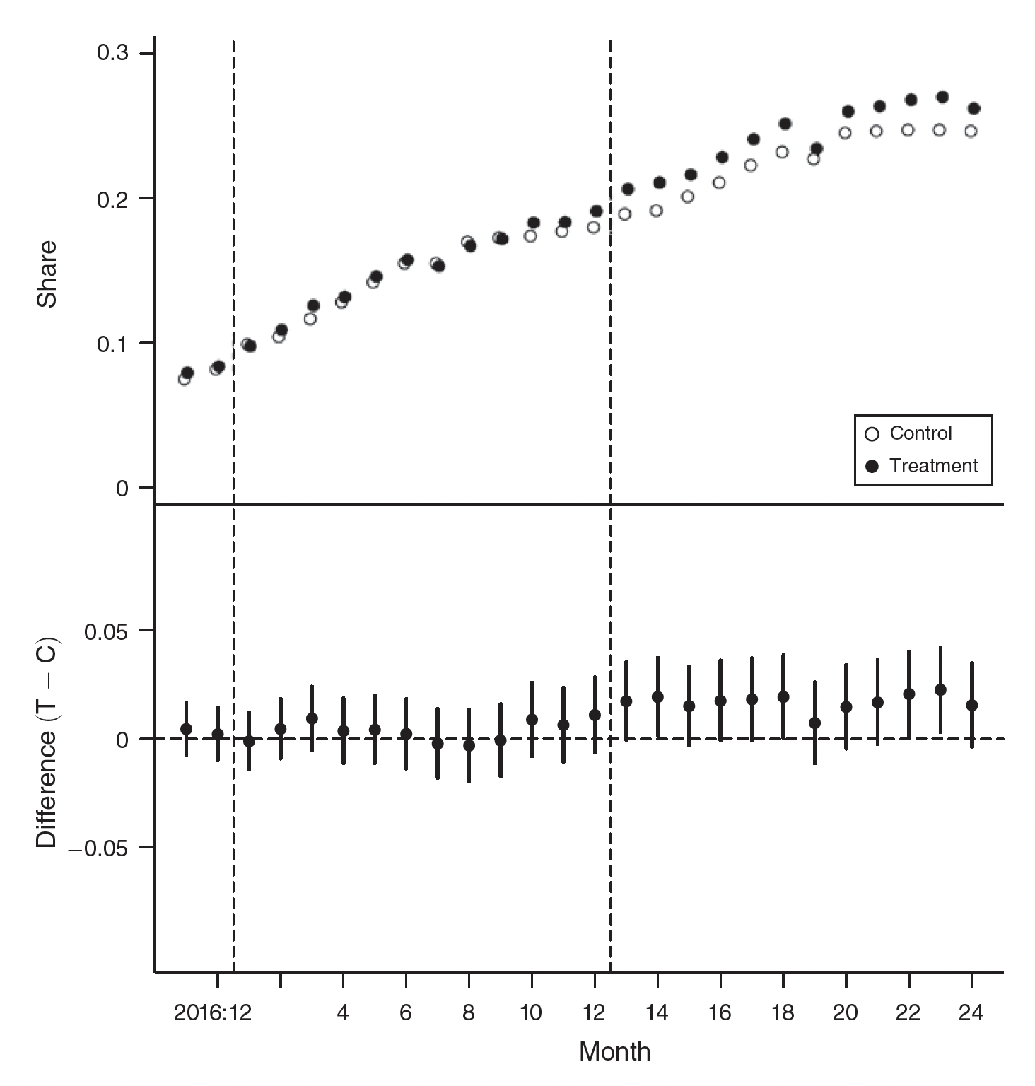
Figure 2 from their paper shows the impact on long-term employment. The top panel indicates the share of participants who had days of employment, by month, for the treatment and control groups. The lower panel shows the difference between the two groups.

 

 

Figure 2 from Verho et al. (2022)

 

During the first year of the experiment (between the two dashed vertical lines), the employment share in the control group (hollow circle) rose from 8 percent to 18 percent. Employment in the treatment group (solid circle) followed the same trajectory, and none of the monthly estimates measuring the difference between the groups differ significantly from zero. 

While there was slightly more growth in the treatment group during the second year, this divergence may be the result of a 2018 unemployment benefit reform and not from the basic income experiment alone.

Based on the authors’ estimates, the experiment had negligible effects on the probability of employment during its first 12 months.

Removing Welfare Traps: Employment Responses in the Finnish Basic Income Experiment appears in the February 2022 issue of the American Economic Journal: Economic Policy.