Research Highlights Featured Chart

January 31, 2022

Smoking bans and compensating differentials

Source: Estradaanton

The theory of compensating differentials suggests that in a competitive labor market, a job with unpleasant working conditions must pay workers more than an otherwise comparable one. For example, some people in similar jobs may have higher wages because they have less flexible work schedules.

While the idea of compensating differentials goes back to Adam Smith, finding direct empirical evidence has proved challenging.

In a paper in the American Economic Journal: Applied Economics, author Daniel Wissmann helps to fill this gap by examining the staggered introduction of smoking bans in German restaurants and bars from 2007 to 2008.

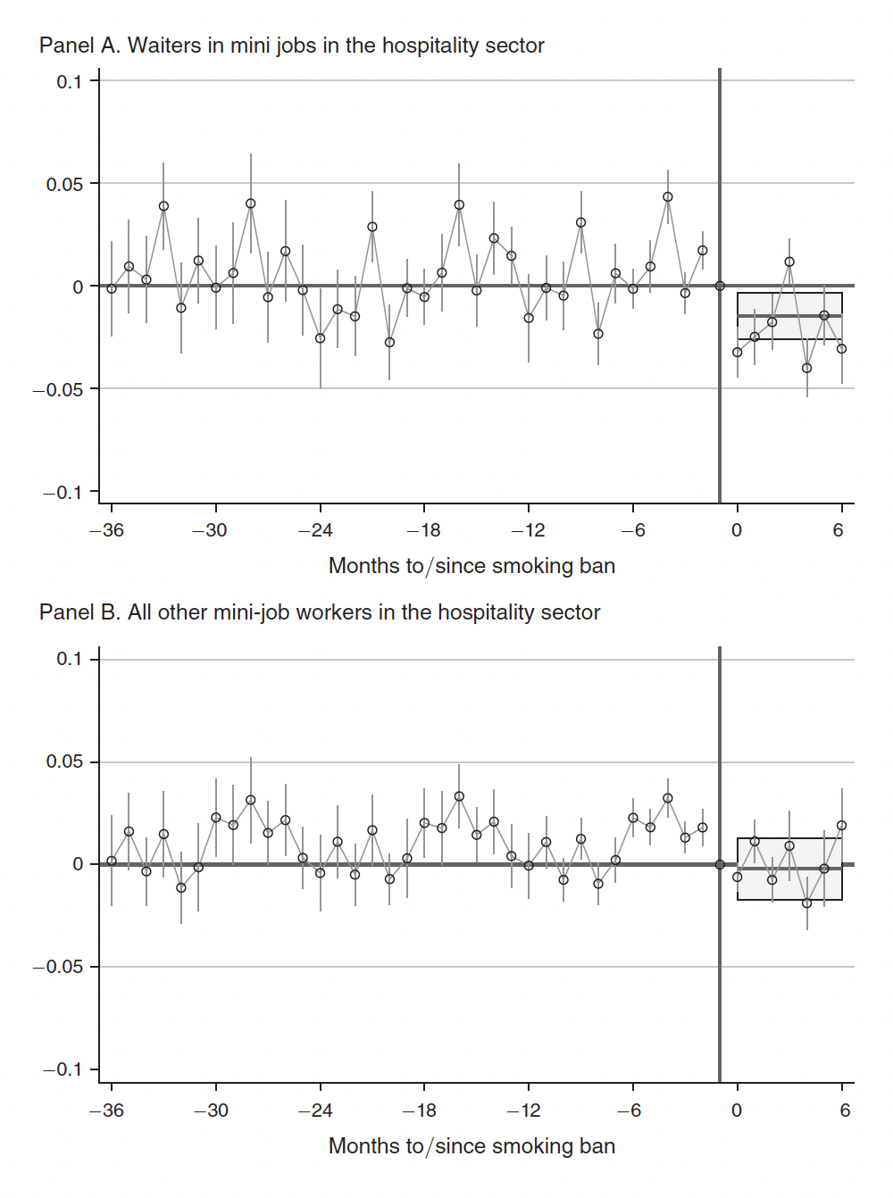
Figure 2 from Wissmann’s paper shows how the wages for waiters—a group more likely to be affected by smoky conditions—dropped compared to other jobs in the hospitality sector after the introduction of smoking bans.

 

 

Figure 2 from Wissmann (2022)

 

Panel A indicates that the average change in earnings net of secular trends and seasonal effects for waiters was roughly flat in the 36 months before a smoking ban was introduced, but dropped significantly in the 6 months following. Panel B shows that the drop for other hospitality workers during the same period was far less. 

Wissmann used the difference between the two groups to establish a more reliable estimate of how much money people are willing to forgo in order to work in a healthier environment. Overall, he found that the most comprehensive smoking bans led to a 2.4 percent decline in the daily earnings of affected workers.

Finally a Smoking Gun? Compensating Differentials and the Introduction of Smoking Bans appears in the January 2022 issue of the American Economic Journal: Applied Economics.